Tissue preparation for immuno-enzyme studies

Wolf D. Kuhlmann

Laboratory Diagnostics & Cell Science, 56112 Lahnstein

Tissue fixation: Formaldehyde reacts mainly with amino groups of proteins by formation of hydroxymethyl groups. Subsequent condensation occurs between neighboring amino groups to form methylene bridges between polypetide chains

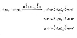
Tissue fixation by glutaraldehyde is very efficient. The stabilizing effect is attributed to rapid and persistent intra- and intermolcular cross-linkages of tissue components. The cross-linking effect depends mainly on the accessibility of ε-amino groups which leads to the formation of Schiff’s bases. In the course of tissue fixation, the final outcome in cells depends on further factors like pH, ionic strength and ratio of reagent to protein

Tissue sampling and the preembedding concept of immunostaining are described: Aldehyde fixed tissue blocks are cut by cryo-microtomy (f.e. 40 µm thick sections), then immuno-cytochemically stained and flat embedded in Epon

Diaminobenzidine (DAB): Most useful and widely employed substrate for the detection of HRP activity in immunoperoxidase cytochemistry. Peroxidase and H2O2 react by oxidative polymerization and cyclization of DAB which gives finally a colored and insoluble product

Tissue areas are grossly selected by inspection and further processed for resin sectioning. Semithin and ultrathin sections are finally viewed by standard light and transmission electron microscopy

Cryo-microtomy: The preparation of thick frozen sections can solve penetration problem of antibodies or conjugates into cell layers of a well-fixed tissue block